Blog de robótica e inteligencia artificial

12/26/2012

Eficiencia energética: ¿es siempre el camino correcto?

Hoy aparece publicada una colaboración mía en la página web especializada en energía, Nergiza. La he realizado junto a Miguel Santander, alguien cuyo libro os recomiendo leer. A continuación, comienza la entrada:



Eficiencia energética, dos palabras mágicas que últimamente parecen estar en todas partes: publicidad, legislación, actividades formativas… A priori parece sensato pensar que invertir tiempo y dinero en la mejora de la eficiencia energética de un producto siempre será beneficioso para el medioambiente. ¿Es esto cierto? ¿Es siempre el camino de la eficiencia energético el camino correcto?


En el ciclo de vida de un producto se distinguen dos etapas claras, el desarrollo del producto inicial y una posterior mejora continua. A partir de aquí solo parecen existir dos salidas, seguir mejorándolo hasta el infinito o que el propio mercado lo rechace y se deje de producir.

En el caso de productos con consumos energéticos importantes, esta mejora continua se suele centrar en obtener mejores cifras en cuanto a su eficiencia energética. En Nergiza nos preguntamos si los recursos (tiempo, dinero…) que utilizan las empresas en mejorar la eficiencia energética de sus productos no estarían, algunas veces, mejor invertidos en la búsqueda de alternativas a las tecnologías actuales.

Si queréis seguir leyendo, aquí la fuente original.


Comparte:

12/24/2012

La mecánica de las bolas de El Gordo

En esta época del año en el que han afloran muchos e interesantes posts sobre las probabilidades de que a una persona le toque el Gordo o la Lotería basándose en las matemáticas. Sin embargo, ¿todas las bolas tienen las mismas posibilidades? Me explico: las bolas que entran en el bombo son de madera de boj, pero en ella llevan indicado una cifra a la que representan. ¿Esa tinta pesa? Si el giro del bombo se traduce en fuerzas centrífugas ejercidas sobre unos sólidos con masa, ¿da ventaja que la bola pese más o menos? ¿El número 1 tiene menos posibilidades de resultar ganador en comparación al número 10.000? ¿O simplemente, el 80.000 tiene más posibilidades que el 10.000 por tener más tinta, y en consecuencia, más masa? 



Recordemos que la fuerza centrífuga es la fuerza que hace que en un movimiento giratorio, un sólido se aleje del eje de giro. Dada que la fórmula es 

 |\mathbf F_\text{cf}|= m\boldsymbol\omega^2 \mathbf r


(donde m es masa, w es la velocidad de giro, y r es el radio de giro), vemos que cuanta mayor masa tenga la bolita, con más fuerza irá hacia el exterior del bombo y más cerca estará del agujero de salida. Bueno, vamos a explicar un poco todo esto:

La normativa de las Loterías y Apuestas del Estado indica claramente que las bolas tienen que tener un peso de 3 gr y un diámetro de 18,8 mm y están esculpidas en madera de boj. Además, no llevan tinta, sino que los números están marcados mediante un grabado láser. La Wikipedia española sugiere que por lo tanto, no hay diferencia de peso en los números. Sin embargo, yo no estoy de acuerdo. El grabado láser sí que influye en el peso. Concretamente, no añade peso, sino que lo quita, ya que el grabado consiste en la eliminación de una fina capa de material con la silueta de la cifra que deseemos imprimir.

Con lo cual, parece que nuestro razonamiento estaba equivocado, y tiene más posibilidades de estar en el exterior del bombo el número 1 que el 10.000. Pero vamos a seguir razonando. Se usan dos bombos en el sorteo de El Gordo: uno para premios y otro para los números. El más grande pesa 500kg de peso vacío (800kg lleno) y está fabricado en latón y bronce, y tiene unos 158 cm de diámetro. Además, gira a 15 vueltas por minuto.


Por lo tanto, ya podemos empezar a hacer números para ver si el peso del grabado láser afecta o no.

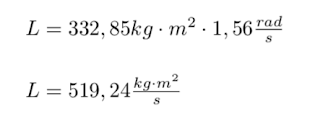
El momento angular es un vector existente en los sólidos que están en rotación. Concretamente, el momento angular del bombo para girar a la velocidad mencionada es:

\mathbf{L} = I \boldsymbol{\omega} \, .

Donde L es el momento angular, I es el momento de inercia, y w es la velocidad de giro del sólido.

Si asumimos la hipótesis de que el bombo es una esfera hueca con una capa exterior, el momento de inercia nos quedaría de la siguiente manera.



Ahora sólo resta calcular el momento angular. Antes, pasamos revoluciones por minuto a radianes por segundo (que son las unidades del Sistema Internacional) mediante la siguiente fórmula


1\ rpm=1 \frac{r}{min} = \frac{2\pi\ rad}{60\ s} = \frac{\pi}{30} \cdot \frac{rad}{s} \approx 0,10471976\ \frac{rad}{s}

Por lo tanto, el momento angular es de la forma:



Sin embargo, esto poco o nada importa a las bolas del bombo, ya que la fuerza a la que están sometidas ellas es a la fuerza centrípeta, la cual aleja a un sólido del centro de giro en un movimiento circular.

V es la velocidad tangencial de cada una de las bolas. Vamos a suponer en un caso ideal, que las bolitas se moverían también a una frecuencia de 15 vueltas por minuto alrededor del bombo. Por lo tanto, como v=w·R, obtenemos que la velocidad tangencial es v=1,56·0,79=1,2324 m/s. A continuación, calculamos la fuerza de cada una de las bolas, considerándolos una masa puntual de 3 gramos, girando a una distancia de 0,79m



Si en lugar de calcular con 3 gramos, hubiéramos calculado con 2,9 gramos, el resultado de la fuerza centrífuga sería de 0,0055 N, lo cual es menor sí. Pero si tenemos en cuenta que por cada bola que está girando en la parte más exterior del bombo, hay unas cuantas cientos de bolas que la están aplastando, y que el peso de estas bolas es un par de órdenes de magnitud mayor que la fuerza centrífuga de una, vemos que las diferencias entre masas de décimas o centésimas de gramos es totalmente despreciable.

Por lo tanto, el peso derivado del grabado láser sí que existe, pero es totalmente despreciable frente al conjunto de fuerzas del sistema.




Comparte:

12/22/2012

Las 6 épocas de la evolución tecnológica

En esta ocasión, vuelvo a subtitular vídeos, y a continuación se puede ver uno corto y descriptivo sobre las 6 épocas de Ray Kurzweil sobre evolución.

Seguramente, muchos conocerán a este investigador. Para los que no, se trata de uno de los visionarios sobre tecnología más famosos del mundo. Sus teorías son múltiples y lleva años haciéndolas. Muchas de ellas y más información sobre el tema y las épocas lo podéis ver aquí. Con algunas de ellas ha acertado y con otras no. Kurzweil es ingeniero, y ha sido galardonado por varios inventos e ideas que ha tenido. Sin embargo, también tiene muchos otros detractores que no comparten sus ideas. Por ejemplo, sostiene que en dos décadas no podremos distinguir la inteligencia artificial de la inteligencia humana. Uno de los que ha apostado por él desde hace tiempo ha sido Google, y así lo demuestra el hecho de que esta misma semana se haya incorporado a la empresa. Es ante todo, una figura a conocer. 





(Pinchando en la imagen se pude ampliar)

Por cierto, el presentador del vídeo es Jason Silva, el cual ha realizado muchos vídeos del mismo tiempo que se pueden ver en su canal de YouTube. No aplaudo su método, ya que en mi opinión sobre todo realza la ciencia, sin explicar sus porqués y cómos. Todo ello lo mezcla con una buena dosis de música y efectos especiales que hacen como resultado final un material audiovisual de alta calidad, pero de escaso contenido para mí.



Una de las ideas más polémicas de Kurzweil se pueden ver en el documental El hombre trascendente, del cual os recomiendo el tráiler a continuación. A mí me metieron ganas de verlo.

Y por último, una buena fuente de información para conocer a este autor es ver su charla TED sobre singularidad tecnológica.






Fuente: http://www.musiquiatra.com/viewtopic.php?f=71&t=72857
Comparte:

12/17/2012

Reseña de Somos impostores


La semana pasada pude leer la novela Somos Impostores, del gran divulgador científico Lucas Sánchez, @sonicando. Os lo prometo: se puede leer de un tirón, ya que es una novela corta tejida de historias y relatos cortos divididos por capítulos. Somos Impostores no se inventa ningún mundo imaginario de seres de baja estatura ni de superhéroes, sino que plasma la realidad como es. Tras la lectura del libro, sientes que has leído un diario y no te deja indiferente. El estilo es rápido, personal, humano y cautivador. No he leído muchos libros así de buenos.

Lucas ha decidido autoeditar su novela, de manera que solo pertenezca al autor. Esta iniciativa artística la podéis visitar en http://www.impostores.es, y colaborar en el crowdfunding de la obra. También puedes leer la obra desde aquí y seguir las novedades del proyecto en @somosimpostores.

Por si no os fiáis de mi criterio, otros sitios también han hecho la crítica sobre esta obra, como Microsiervos, Recuerdos de Pandora o Enchufa2.

Yo ya soy Impostor, ¿a qué esperáis?


Comparte:

12/13/2012

Post participativo: va de cine

Hoy de nuevo propongo la resolución de un pequeño enigma cuya solución tiene que ser el nombre de un famoso ingeniero. Ahí van las pistas, al más puro estilo de @daniepap y los retos de su blog www.esepuntoazulpalido.com.

1- Actualmente está vivo

2- Tiene una gran relación con la Universidad de Stanford

3- Él no es tan conocido, pero su producto lo es, y mucho

4- Recibió un Oscar por sus contribuciones

5- Su desarrollo consistió en la mejora de una tecnología, y está dirigido al gran público



Comparte:

12/05/2012

Hoverbike: cómo funciona

Ya tiene algunos meses, pero no me deja de sorprender el invento que traigo hoy: el Hoverbike. Un vídeo vale más que un millón de palabras, así que ahí va:




Como se puede ver, recuerda a los inventos del Retorno del Jedi, y lo más parecido a la realidad es a una especie de moto voladora. El responsable de la idea se llama Chris Malloy.


Se trata de un proyecto que ya había echado a andar en 2008. Mejor dicho, a volar, ya que en diciembre de este año se anunció el primer vuelo de este ingenio. Sin embargo, la idea surge en los 60, momento en el cual el proyecto fue rechazado por problemas de estabilidad. Su inspiración fue el helicóptero Boeing CH-47 Chinook. En el artículo del blog voy a intentar explicar cómo funciona y cómo se controla esta tecnología:

Concretamente, una de las cosas más importantes para Aerofex, la empresa californiana responsable, es que su maniobrabilidad se lleva a cabo con las rodillas. Lo cual ayuda a equilibrar el aparato de una manera muy natural para el ser humano, gracias a lo cual han solucionado gran parte del problema de estabilidad previamente citado (fuente).

Para elevarse, lo hace de una manera muy similar a la de un helicóptero: emplea dos rotores de aspas desarrollados por BMW que son capaces de proporcionar una fuerza de elevación de 295kg, alimentados por un motor de 1.170cc, 109cv, un depósito de 30 litros y un motor de dos pistones y cuatro tiempos, parecido al de la siguiente imagen

Teóricamente es capaz de elevarse 3.000m y lograr una velocidad de 255 km/h. (fuente). Sin embargo, se han hecho pruebas sólo hasta 5m y 50km/h (fuente)

Para su control, básicamente lo que ha hecho Aerofex ha sido incorporar un sistema de dos barras a la altura de las rodillas. Es decir, no hace falta complejo software de vuelo ni electrónica según ellos, aunque está por ver. Parece que las barras capturan los movimientos de las rodillas y la traducen en los tres tipos de giro en el espacio (yaw, pitch, roll), y ellos se encargan de manipular los elementos aerodinámicos encargados del control de la nave. Este mecanismo de hecho es la joya de la corona del invento, ya que la información sobre ella está en este paper, así que voy a tirar de imaginación para explicar cómo podría ser. En palabras del creador It essentially captures the translations between the two (bars) in three axis (pitch, roll and yaw), and activates the aerodynamic controls required to counter the movement -- which lines the vehicle back up with the pilot.

Por otro lado, en la página de preguntas frecuentes, sobre el modo de controlar el Hoverbike dice esto (en una mala traducción):

- Para elevar el hover, se necesita aumentar la potencia como si fuera una moto, es decir, con el manillar derecho.
- Para volar hacia adelante, hacen falta una combinación de un incremento de la potencia y un desvío del aire respecto a la parte frontal. Eso se consigue con el manillar izquierdo.
- Para girar a izquierda y derecha, lo único que hay que hacer is empujar las barras del manillar hacia el lado que se desea girar (como una bicicleta, pero con el añadido de que tiene un grado de libertad de profundidad, de manera que el mando pueda salir y entrar un poco).

Todo esto no sirve de nada sin los giróscopos, y esa es la clave del control de este aparato. El paper seguramente establecerá los outputs y configuración de los giróscopos del Hoverbike. Todo aparato móvil que no sea estable en un determinado medio, como motos, helicópteros o aviones, tienen giróscopos. Los coches no, ya que sobre 4 ruedas ya es estable en todo momento. Sin ánimo de entrar en desarrollos matemáticos de esta gran e importante parte de la cinemática, os dejo un vídeo realizado por astronautas que demuestra cómo el giróscopo hace más estable el movimiento de un objeto (se explica aquí):



El Hoverbike tendrá un sistema más avanzado que el momento giroscópico que permite a las motos de competición inclinarse sin perder el equilibrio, y os recomiendo ver el enlace explicativo.

La esencia de este invento no es ser comercializado a corto plazo, o al menos así lo anuncian los inventores. Pero la aplicación más directa y por la que se ha mostrado más interés es la de transporte autónomo de militares, o incluso acceso a zonas de difícil acceso por carretera convencional. No os extrañe que el ejército estadounidense ya está al loro de Hoverbike, y más después de que ya han hecho descenso de tropas en un helicóptero no tripulado.

Y si queréis comprobar lo que son capaces de hacer los giroscopios, no os perdáis esta entrada sobre trenes con una única fila de ruedas.


Podéis seguir la actualidad de esta aventura en su blog y página web.
Comparte:

12/01/2012

Héroes de la Ingeniería

Las universidades de ingeniería referentes en el mundo son básicamente dos: Stanford y el MIT. Es de estas instituciones de donde están saliendo algunos de los avances más importantes de tecnología en los últimos años; una estancia en esa universidad es uno de los sueños de cualquier investigador tecnológico; se caracterizan por la combinación y éxito entre universidad y empresa, y otras muchas razones.

La Universidad de Stanford desde hace poco tiempo homenajea a algunos de los más grandes ingenieros de la época actual y que han pasado por sus aulas. Han sido referentes por haber elevado el valor añadido o nivel empresarial de ciertas organizaciones, por no entenderse el mundo sin sus aportaciones, o por sus correspondientes hallazgos. En el post de hoy me quiero hacer eco de este evento, denominado épicamente Engineering Heroes, y citaros los héroes que más me han llamado la atención que hay hasta el momento y una breve reseña de cada uno.




David Packard (1912-1996) y William Hewlett (1913-2001)
El primero se cruzó con un profesor de Stanford que supo orientar y alimentar su talento (Dean Fred Terman), el cual le animó a David a hacer la carrera de telecomunicaciones, ya que el chaval era un gran apasionado de la radio ciudadana. Posteriormente, alumno y prfesor se volvieron a encontrar, y esta vez junto a un tal William Hewlett, les animó a fundar una empresa electrónica. El nombre, Hewlett-Packard, fue decidido por el azar del lanzamiento de una moneda al aire. Comenzaron en Palo Alto en 1939 con cerca de 10.000$ de los de hoy. Su primer gran producto un oscilador de sonido, que gracias a Disney, fue un éxito de ventas.

Hoy, David Packard es uno de los mayores ejemplos de emprendizaje en la universidad de Stanford.

Por su parte, William Hewlett tenía una gran pasión por la física y montar y desmontar aparatos; fue el arquitecto y encargado financiero, tecnológico y administrativo de HP. Su estilo, fue conocido como The HP Way. Hoy es reconocido como un gran experto en electrónica y experto en el mundo de los negocios tecnológicos.



Vint Cerf (1943-actualidad)
Es considerado uno de los padres de Internet. Estudió la carrera de matemáticas y realizó una tesis que le llevó a desarrollar el software que unió en una red a los ordenadores de la agencia militar DARPA. Era muy reconocido entre otros profesores de Stanford, como Don Knuth. Atraído por esta admiración, Vint Cerf se vinculó a la universidad entre 1972 y 1976, y junto a sus estudiantes y Robert Kahn crearon el protocolo TCP. Uno de los pilares básicos de Internet y base para todo el intercambio de tráfico en la Red. En 1976 volvió a DARPA. De 2000 a 2007 se encargó del protocolo IPV6, del cual se habló largo y tendido a lo largo de 2011. Ostenta el curioso y enigmático título de Chief Internet Evangelist en Google desde 2005.


Charles Litton (1904-1972)
Estudio un grado de Mecanizado en San Francisco, y posteriormente la carrera ingeniería industrial en Stanford. Gracias a su habilidad con los materiales, su manipulación e interés en la radio, le llevaron a diseñar tubos de vacío. De hecho, consiguió 65 patentes en este diseño. Producían para aplicaciones de radar, magnetrones, y otros elementos electromagnéticos, los cuales se usaron mucho durante la segunda Guerra Mundial.

Más adelante, creo Tex Thornton, el cual es un gran conglomerado dedicado a Defensa. A Litton se le reconoce como uno de los primeros ingenieros emprendedores y fundadores del famosísimo Sillicon Valley.


Craig Barrett (1939-actualidad)
Este hombre el es CEO, ya retirado, del gigante de semiconductores INTEL. Se unió a la compañía en 1974, donde en 1998 fue nombrado ya CEO. Es autor del libro de referencia Principles of Engineering Materials. Hoy está dedicado en cuerpo y alma a mejorar la educación y a promover la tecnología como motor de cambio social y creador de riqueza económica.


Andreas Bechtolsheim (1955-actualidad)
Pasó por Stanford para realizar sus estudios en Informática e Ingeniería Eléctrica. Posteriormente, Andreas construyó la estación de trabajo SUN, y como se pueden ir imaginando los lectores, fue el cofundador y jefe de arquitectura y sistemas de Sun Microsystems.  También ha estado involucrado en otras de telecomunicaciones, y es muy reconocida su gran visión a futuro de las tecnologías. Fue uno de los primeros inversores en Google, VMware, Brocade... es un gran emprendedor embarcado en multitud de iniciativas.



George Dantzig (1914-2005)
Fue un gran matemático, y es conocido como el padre de la programación lineal y el algoritmo Simplex, famosísimo e imprescindible en la investigación operativa. Su trabajo coincidió con la época en la que la industria se cruzaba con la evolución de la tecnología informática, y gracias a sus trabajos logró que innumerables empresas optimizaran sus procesos. Muchísimos sectores, desde refinerías de petróleo hasta navegación aérea, han sido transformados por su influencia. De hecho, la revista Computing in Science and Engineering nombró al simplex como uno de los 10 algoritmos más influyentes del siglo XX.


Theodore Maiman (1927-2007)
En Stanford realizó los estudios de Ingeniería Eléctrica y su tesis fue en Física. Este hombre tiene la patente americana 3.353.115 en la que se recoge el primer láser que funcionaba correctamente. Para ello empleó un rubí sintético, y lo puso en funcionamiento en 1960. Hoy no concebiríamos la vida igual sin el láser. El diseño era tan simple y costó tan poco (50.000$ incluído el sueldo de Maiman) que ha sido una de las revoluciones tecnológicas más baratas de todos los tiempos.


Bradford Parkinson (1935-actualidad)
Sin él, no tendríamos el sistema GPS, hacia el cual lideró siendo coronel de la Fuerza Aérea Estadounidense.  También desarrolló distintos sistemas de navegación Aérea, como el Wide Area Augmentation System (WAAS). Recientemente ha liderado a la NASA y Stanford a probar la Teoría de la Relatividad General de Einstein con una precisión hasta ahora no lograda.

Parkinson es autor del libro de texto más vendido: Global Positioning System: theory and applications.


Stephen Tymoshenko (1878-1972)
Con el trabajo de este autor me he cruzado esta misma semana. Es reconocido como el padre de la mecánica aplicada en USA. De hecho, su influencia es tan grande que su época más activa es conocida como La Era Tymoshenko, y la ASME (Sociedad Americana de Ingenieros Mecánicos) ha creado una medalla con su nombre. Tiene 13 famosos libros de texto, y uno de los más famosos es Strength of Materials, que traducido sería algo así como Esfuerzos en los Materiales.


ACTUALIZACIÓN
Después de publicar el post aparecieron los nombres de 2012 de los Engineering Heroes.
Martin Hellman, inventor de la criptografía de clave pública. O John McCarty, fallecido en 2011, que acuñó el término inteligencia artificial y desarrolló el lenguaje LISP. John Blume fue el padre de la ingeniería de terremotos. O James Clark que desarrolló un gran trabajo en gráficos por ordenador.
Comparte:

11/21/2012

Post participativo: ¿cuál es la carta ganadora?

A ver qué tal se os da este simple reto. Tenemos 4 objetos rodantes de igual masa, sometidos a la misma fuerza (la de la gravedad). ¿Qué es lo que puede hacer que adquieran velocidades de descenso distintos? Está totalmente relacionado con las llantas de los automóviles.










ACTUALIZACIÓN

Comparte:

11/17/2012

Jeibros portada de Microsiervos

Pues nunca pensé que llegaría cuando comencé el blog y mi andadura twittera, pero el pasado domingo uno de los vídeos que sugerí a @wicho acabó de portada de Microsiervos. Éste es el enlace que lo testifica.

Concretamente, se trata de una orquesta hecha con impresoras un poco antiguas y que conforma un spot del fabricante Brother. Sin más dilación, gracias a Microsiervos, Wicho, y os dejo con el vídeo. Lo visual empieza sobre todo a partir del minuto 3.




Comparte:

11/01/2012

Post participativo: WTF con el helicóptero?

Esta entrada viene a cuento de los famosos retos que plantea @daniepap en su blog especializado en Química (muy recomendable de visitar por cierto).

Yo en su momento ya publiqué un post similar, y ahora os planteo otro. Ved el siguiente vídeo y os animo a intentar responder qué es lo que ocurre:



¿se rompe queriendo, es un fallo de algo, mala fabricación, o es simplemente un vídeo fake? En el caso de que la causa sea técnica, también se pide el razonamiento del fenómeno para dar el reto por completo. No liberaré los comentarios inmediatamente. Éste es muy fácil.




¡Ánimo!


Actualización
Se han publicado los comentarios que acertaron con la razón: ground resonance, cuya explicación técnica está aquí. Y ésta es la noticia que recogió el suceso, entre otros medios. Microsiervos ha publicado otro genial vídeo con el mismo fenómeno.
Comparte:

10/31/2012

En Naukas: La Formula1, en una fórmula

A continuación os dejo mi última colaboración en Naukas, ésta también sobre F1. Muchas gracias a los que comentaron.



Los grandes aficionados a la Formula1 y sobre todo Alonsistas no olvidarán cómo perdió el asturiano el campeonato del Mundo de 2010 en Abu Dhabi, la última carrera del mundial. Básicamente competían entre Vettel, Webber (ambos de Red Bull) y Fernando Alonso. Webber tuvo que entrar a boxes (1.20 del vídeo), el de Ferrari le copió la estrategia y dejó a Vettel sin cubrir, quien finalmente ganó el mundial. Hay quien dice que esto fue trampa con todas las de la ley del equipo de la bebida energética. El caso es que al día siguiente no había quién clamaba “¡es que los de Ferrari son unos inútiles!” “¡No tienen ni puñetera idea!” “¡Llego a estar yo en el sitio de Domenicalli, y ya han ganado el mundial hasta con Massa!” En fin… ¡ánimo, valientes!



Quien quiera practicar y quedar muy bien o muy mal delante de la gente, puede hacerlo gracias a esta calculadora de estrategias.

Esta tarea de las carreras es una de las más complejas, y que requieren de profesionales con una gran experiencia y capacidad de toma rápida de decisiones. Se tienen en cuenta multitud de datos, algunos de los cuales son:

-          Estado de los propios neumáticos

-          Situación de carrera y gaps entre rivales

-          Previsión de estrategia de los rivales

-          Previsiones meteorológicas

-          Estrategia a 1, 2 ó 3 paradas

-          Predicción de en qué punto del tráfico se reincorporaría

-          Rendimiento del  vehículo

-          …




Afortunadamente, un ingeniero de McLaren vino a ayudar en todo esto e intentó postular la creación de fórmulas matemáticas para la estrategia de carrera. Este artículo fue publicado en la prestigiosa The Royal Academy of Engineering británica.

La fuente original de este proyecto viene con unas cifras concretas para las fórmulas que se van a postular, así que en este artículo usaré los mismos. Para empezar, vamos a imaginar que la carrera es a 50 vueltas, y la parada se va a hacer tras el giro número 20. Por otro lado, el tiempo mínimo de vuelta conseguido ha sido de 100,045 segundos. Además, el tiempo para cargar el coche de combustible para una vuelta es de 0,5 segundos.

Para empezar, la estrategia viene marcada por una serie de factores inherentes a cada pista y coche:

-          Consumo de gasolina    C = 3kg/vuelta

-          Cuánto tiempo se pierde por vuelta por cada kg de combustible    E = 0,03 s /kg

-          Tiempo de vuelta con gasolina para una vuelta  (t1 = 100,045 s)

Se puede calcular cómo de lento va el coche por vuelta y kg de combustible (a lo que llamaremos W):




Gracias a este dato, estamos en disposición de calcular cuánto tiempo más lento iremos en cada vuelta concreta por efecto del combustible:

Tiempo extra = Media de (cantidad de vueltas que te quedan de gasolina al principio y al final de la vuelta) · W

Imaginemos que estamos calculando en la vuelta 1:


A este factor, el artículo lo denomina Fuel Load Effect, tal y como se verá en un rato en las tablas. A continuación, hemos de calcular el tiempo de vuelta perfecto, el cual es un valor imaginario ya que es el que conseguiríamos si el coche no tuviera combustible.



= 100,045 – (0,5 · 0,09) = 100 segundos

 Y así podríamos completar los tiempos de las 20 primeras vueltas, es decir, el primer stint de carrera.




Si sumamos estos tiempos de vuelta, el resultado es de 2018 segundos, aproximadamente unos 33,6 minutos.

Restan 50 vueltas, y vamos a entrar en boxes en la vuelta 20. Es decir, necesitamos añadir combustible para 30 vueltas más que en el primer stint. Me voy a saltar el cálculo del tiempo invertido en boxes, ya que normalmente es un dato de los equipos, y así estamos acostumbrados a que nos lo den en las retransmisiones de TV (25 segundos en el pitlane + parada, por ejemplo). El caso es que al salir de esta maniobra, tendremos una nueva situación de carrera, que se calcula de manera análoga a la tabla anterior:



Tenemos ya un modelo matemático muy simple de la carrera. ¿En qué se basa? En tener un cálculo de tiempo por vuelta para cada uno de los giros de la carrera, de manera que lo que tenemos es esencialmente un gráfico como el que sigue a continuación:



De esta manera, el tiempo para una vuelta concreta se calcula de la siguiente manera:

Donde l es el número de vueltas completadas, y L2 es 20 en este caso.

¿Y cómo calculamos el tiempo completo de cada stint? Pues la Formula1 se convierte en una simple fórmula:


Donde L2 = 20, L1 = 0, t0 = 100 segundos y W = 0,09. Si lo calculáis, comprobaréis que da 2018 segundos.



Comentarios:

Esta fórmula está muy idealizada, ya que está concebida sin intervención de factores externos, ni rivales, ni desgaste mal calculado de los neumáticos, o ni siquiera fallos humanos en el pitlane. La situación real más cercana a la que se puede aplicar este modelo matemático es a un piloto que salga primero de la parrilla, y se mantenga líder toda la carrera, incluso después de salir de los boxes. Algo así a lo que hacía Vettel el pasado año.

Los equipos sí que tienen en cuenta todos estos datos y crean normalmente software propio en el que se tienen en cuenta todas estas variables. Estas variables normalmente se alimentan mediante la telemetría en cada momento de la carrera.

El artículo tiene un fin divulgativo en el que su fin era transmitir al público general una manera muy simplificada de determinar la evolución de una carrera.

Para quien quiera más información, en esta página puede ver las distintas estrategias y gráficos a lo largo de la temporada 2012.



Artículo original: Formula One Race Strategy
Comparte:

10/16/2012

El Toyota que sustituyó a Volkswagen

Seguro que muchos de los lectores reconocen este anuncio, emitido en TV durante 2007:



En este vídeo se ve cómo un VW Touareg remolca un avión Boeing 747. Es una prueba real, no hay videoshop ni nada. Lógicamente, la nave va sin pasaje, y se realizaron una serie de modificaciones en el coche:

"En principio, el peso del vehículo tuvo que ser aumentado; esta modificación era necesaria para convertir el poder del motor en fuerza de propulsión. Para lograr este cambio, se distribuyeron bolas y placas de acero en todo el SUV, logrando añadir 4.345 kilos más al peso normal de la Touareg. Tras los cambios, la Touareg V10 TDI tuvo un peso total de 7.030 kilos, con una distribución de peso de 2.755 kilos al frente y 4.275 kilos atrás.", según rezaba la nota de prensa que publicó VW. Esto tiene como única finalidad que las ruedas no patinen al intentar traccionar. Además, se aumentó la presión de los neumáticos del coche al doble (fuente). El peso del avión era de 155 Tn. El coche se vendió muy bien.

El caso es que este anuncio parcialmente se ha hecho realidad, tal y como hemos podido ver estos días en las calles de Los Ángeles, donde un coche ha sido el encargado de remolcar el transbordador Endeavour. Pero no ha sido honor de VW, sino de Toyota. Concretamente, una pick-up Toyota Tundra.



Para la ocasión, la marca japonesa preparó unos vídeos promocionales en los que hablaba de la dificultad y retos del proyecto, y afirma que el modelo que se usó no tiene ninguna clase de modificación. Concretamente, este es el vídeo del momento en el que el Toyota entra en acción y que estoy convencido que los directivos de la compañía mimaron al detalle, al tener todos los ojos del mundo puestos en este traslado.



Y estos son los vídeos de promoción que realizó el fabricante. Personalmente me han encantado, ya que no sólo aparecen imágenes del coche, sino que también imágenes del cohete y una especie de explicación del proyecto.





En este último vídeo es donde mejor se explica el transporte. En total, en los ensayos se cargó 307.000 libras (139.000 kg). El peso total del transbordador es de 172.000 libras (78 Tn aprox). Además, tiene una envergadura de 23 m y una altura media de 17m. La mayor parte del viaje se hará con unos robots autónomos, como los que se ven en el vídeo de La misión. (fuente)

El trayecto tiene 12 millas (en el que abarcaba la autopista 405 y Manchester Boulevard, entre otras calles) y estaba planeado para dos días, a pesar de que finalmente ha habido problemas. En este artículo de @fogonazos tenéis un time lapse del viaje del Endeavour.


Comparte:

10/13/2012

En Naukas: el sonido para mejorar los medicamentos

Esta es la primera colaboración que hice para el nuevo Naukas.com. ¡Gracias por los comentarios! Aquí el enlace:




En esta entrada se va a demostrar un efecto y aplicación muy curiosa y útil que tienen las ondas acústicas. Concretamente, la levitación acústica.

Vamos primero a los principios: el sonido es una onda que necesita un medio para propagarse, es decir, es una onda mecánica. Es por esa razón por la que en el espacio, donde existe el vacío, no se puede escuchar nada. El ruido, ya sea melódico o estridente, no es más que la perturbación del aire. Esto no sorprenderá a nadie que vaya a una discoteca, por ejemplo. Se deja de escuchar cuando la onda pierde su energía según se aleja del origen.

Concretamente, la fuente de sonido perturba las partículas más próximas a ese foco acústico, las cuales transmiten su vibración a las siguientes del aire, y así consecutivamente. Además, se trata de una onda longitudinal, lo cual significa que el movimiento de las partículas es paralelo a la dirección de la onda.

Cuando en una misma recta se suman dos ondas de la misma frecuencia y amplitud, pero sentidos opuestos, y un desfase de media longitud de onda, tenemos lo que se llaman ondas estacionarias. La característica de este tipo de ondas es que cuentan con unos puntos, denominados nodos, en el que el movimiento aparentemente es 0. Depende del modo de vibración de la onda, los nodos estarán en puntos distintos de la línea, como en una guitarra.




Aquí hay un vídeo ilustrativo real de cómo se comportan este fenómeno:



Por otro lado, si esa recta de la onda coincide con la dirección de la fuerza de gravedad, podemos llegar a tener tramos de la onda estacionaria en sentido gravitatorio que son compensados por tramos en el sentido contrario y anti-gravitario. De esa manera, son esos nodos los lugares más estables. De esa manera, podemos tener cosas asombrosas como ésta:




Por lo tanto, la distancia entre los focos de las ondas necesariamente ha de ser un múltiplo de la longitud media de la onda.

¿Y esto para qué sirve? Se empezó a usar esta tecnología en 1987 y sigue usando hoy en día, en aplicaciones de microgravedad de la NASA. En este tipo de experimentos, las zonas estables de los nodos han de ser lo suficientemente grandes en comparación al objeto que se quiere hacer levitar. Normalmente el objeto es entre ½ y 1/3 del tamaño de la longitud de onda. Cuanta más alta sea la frecuencia del sonido, menor es el tamaño de lo que se puede hacer levitar.

Hace unos pocos días se hizo público un vídeo de levitación acústica de gotas de distintas sustancias farmacológicas a cargo de un grupo de científicos estadounidenses.




El efecto visual es sorprendente, y en este vídeo concretamente se ve con claridad cómo en la demo están buscando los nodos.

En este caso, es aún más chocante porque hace elevarse gotas de líquido. No es tan fácil ni se puede hacer con cualquier líquido, ya que hay que tener en cuenta el número de Bond de la gota. Se trata de un valor adimensional y relaciona la tensión superficial, la densidad y el tamaño de la gota. Si es muy bajo, la gota explotará y no podrá levitar.

¿Y qué tiene que ver el sonido y la levitación con los fármacos? A nivel atómico, las estructuras de los fármacos pueden ser amorfas o cristalinas. Normalmente los primeros tienen una mayor facilidad de absorción por el organismo debido a su mayor solubilidad sobre todo. Esto lleva a pensar que hace falta menor dosis de un medicamento de estructura amorfa que de estructura cristalina para conseguir el mismo efecto terapéutico. Sin embargo, la inmensa mayoría de fármacos comerciales tienen la peor opción: la cristalina.

No es tan fácil conseguir lo contrario, ya que si la sustancia se evapora en contacto con el recipiente, tiende totalmente a cristalizarse. Por lo tanto, se ve la necesidad de evaporar la sustancia sin que toque ninguna superficie o pared. Y para eso se usa la tecnología presentada en este artículo.

Es decir, la levitación permite estudiar el fármaco mientras adquiere la estructura desordenada, o amorfa. Para ello, los investigadores usaron una frecuencia de 22kHz, un poco por encima del espectro de audición humano, y se basaron en los diseños de la NASA para crear microgravedad.




Comparte:

10/09/2012

Uno de los grandes fallos de Ferrari F1

Uno de los fallos más grandes es su simulador. Y es de eso lo que va este post. Lo siento por el lector decepcionado con la respuesta. Pero voy a explicar por qué a Ferrari se le da mal este elemento y le lastra para estar a la altura de otros equipos.

En este artículo, intentaré describir una serie de conceptos básicos de los simuladores, y me basaré para ello en los de Formula1, para variar. Este elemento es IMPRESCINDIBLE en la F1 actual por la ausencia de tests durante la temporada. Por ello, junto al túnel de viento, es lo único con lo cuentan los equipos para entrenar y comprobar sus actualizaciones antes de llevarlas a la pista. De hecho, los seguidores de este deporte estamos bastante de acuerdo que a Ferrari le ha hecho mucho daño la prohibición de tests durante la temporada, ya que no cuenta con un simulador tan bueno como otros equipos. No ha sido raro escuchar que sus datos de simulador no coincidían con sus datos sobre la pista. Algunas de las últimas fuentes al respecto son las siguientes:


11 marzo 2012:  Domenicalli "In 2010, we began a new technical cycle: important steps were taken in terms of the organisation and working methodology and here I'm thinking mainly about the areas of simulation and strategy"

13 marzo 2012: reorganización total en el equipo

13 abril 2012: Pat Fry “The biggest performance differentiator is aerodynamics. We’ve got some issues there that we’re trying to resolve. The areas you need to be working on is everything from the way you run the wind tunnel, the accuracy of your wind tunnel, the simulation that you use to decide what components to take forward, so we’re not leaving any stone unturned".

8 octubre 2012: Ferrari have admitted that the development of their car is being affected by problems with their wind-tunnel, with results from their simulations of new parts not correlating with those when the upgrades are tried on track


El simulador está compuesto por una parte hardware y otra software. La parte de hardware lo constituyen el cockpit en el que está montado el piloto, el volante, y los distintos ordenadores que probablemente forman los racks sobre los que se ejecutan los modelos de realidad virtual (esto último es una parte del software). 

Es decir, ¿cómo decimos al ordenador que el coche se mueve? Tiene que haber un sensor en el cockpit que calcule cuánto se está pisando, y esa señal se envía a los ordenadores, de manera que la variable de entrada de prácticamente todo el sistema es la señal que envían los pedales. Para indicar movimiento, el final de este algoritmo tiene que obtener la velocidad. Entonces necesitamos una fórmula del tipo:
 v=  f (pisada del acelerador)




Pero claro, entre medias necesitamos meter otros factores como la caja de cambios, revoluciones del motor, temperatura del motor, etc… es decir, necesitamos un montón de modelos matemáticos que representen todos los fenómenos que hacen que el coche funcione y afectan a su rendimiento, lo cual implica una gran cantidad de fórmulas. Véase cualquier artículo para el modelado de un motor (ejemplo). 

Hay parámetros y fórmulas relativamente sencillas que puede dar el fabricante, como por ejemplo diámetros de los engranajes de la caja de cambios. Pero otros valores numéricos no son nada evidentes, y de hecho el mayor problema es éste y consiste en no relacionar correctamente los distintos parámetros entre la simulación y la realidad. Por ejemplo, voy a poner un ejemplo muy absurdo: vamos a imaginar que Ferrari calcula y especifica que el par (T) de salida del motor depende de la siguiente fórmula:

N = 9547 * ángulo de pedal       donde el ángulo de pedal [rad, 0:pi/2]     N: [rad/s]
T = 0,48 * N                   

En este caso, 9547 es un valor que ha introducido el desarrollador del simulador, creyendo que es el valor que realmente encaja en la fórmula que rige la velocidad de giro del motor (N). Si en realidad fuera 9545, ya estaríamos arrastrando ese fallo al par de fuerza (T), y así sucesivamente. 

A velocidades tan extremas, no valen las aproximaciones, ya que a situaciones más radicales, los fallos se notarán más y amplificarán.

El motor, la caja de cambios, los pedales… hasta ahora no hemos introducido elementos propios de un coche de Formula1 y ya es posible que esté habiendo fallos de cálculo. ¿Cómo no van a ser muy propensos a los fallos elementos como el KERS, el mapa aerodinámico del coche, comportamiento perfecto de los alerones, etc…?


Es decir, en simuladores corrientes y no-de-competición, podrían valer casi las mismas fórmulas para modelar un Renault Mégane como un Ford Focus prácticamente, ya que se emplean fórmulas muy genéricas y teóricas, y no se busca un estudio totalmente exacto de la simulación del coche. Esos simuladores se usan para otras cosas, como para enseñar a conducir a usuarios de la calle.

En cambio, en el coche de Alonso tiene que estar perfectamente modelado el comportamiento dinámico del coche (suspensiones, ángulo de las ruedas, centro de gravedad, transferencia de masas, consideración de pérdida de peso por combustible…). Por ejemplo, imaginemos que Ferrari decide incorporar un nuevo alerón, ¿qué hay que hacer? En el simulador no puedes dibujar una pieza y ya está el coche listo para volver a probar… ¿qué hacemos? Pues una alternativa es la siguiente:

Lo primero es dibujar la pieza en un programa de CFD (Computational Fluid Dynamics) para calcular los coeficientes de drag, qué downforce provoca, cómo guía el aire al resto de piezas… y si no podemos dibujar esa pieza en el simulador y listo, lo que tenemos que hacer es modelar el coche como si tuviera esa pieza… es decir, por introducir un nuevo alerón delantero lo más probable es que haya que cambiar estos parámetros en el coche:
               - Masa total del coche
               - Ecuación de carga aerodinámica en función de la velocidad
          - Como seguramente desvíe el aire, nueva ecuación térmica para los elementos afectados (quizás ayuda a refrigerar los frenos).
              - Posiblemente el resto de piezas aerodinámicas también se vean influenciadas, por lo que hay que reescribir las nuevos coeficientes de drag, downforce… que sufren con la nueva pieza.
               - Seguro que se me olvidan algunas



¿No es parece complicado? Otro elemento curioso son los neumáticos. Su comportamiento es cuanto menos, irregular, y de hecho el fabricante Pirelli busca eso. Además, este elemento va cambiando durante la carrera por la degradación y su desgaste depende del:
             - aire que le venga (sucio, limpio)
             - temperatura de la pista y del ambiente
             - propia temperatura del neumático
             - frenazos del piloto
             - configuración de la suspensión
             - flujo del aire propio del coche

Vamos, que seguro que ningún equipo de Formula1 usa la típica fórmula de Pacejka, sino que hace falta algo más que tenga en cuenta todos los factores mencionados. Un correcto modelado del neumático se traduce en que se puede predecir la adherencia, la tracción y la velocidad del coche de una manera precisa… y aún así, en las carreras se ve que es muy frecuente no elegir bien los neumáticos. Los pilotos tienen la obligación de pasar muchas horas en el simulador, de manera que ayuden a los simuladores a identificar cómo de real es el modelo virtual respecto a la realidad, como explicaba Alonso aquí

¿Dónde estamos? ¡Ah, sí! Todo ha empezado que al pisar el pedal del simulador, el coche ha de moverse en el escenario de la manera más exacta posible a la realidad. Eso sí, ya vemos que desde el pedal hasta el cálculo final de la velocidad los cálculos y constantes que hay que calcular son un auténtico caos. El cockpit está continuamente enviando señales de su estado a los ordenadores del rack. Por ejemplo, el acelerador puede estar emitiendo cuánto está pisado cada milésima de segundo, lo cual obliga a que todas las fórmulas y resto de variables del coche se actualicen a la misma frecuencia. Esto no es aleatorio, ya que existen algoritmos que divergen o dan valores erróneos según la frecuencia. Un ejemplo de los botones del volante puede ser que cuando están pulsados dan un 1 y cuando no, un 0. De esa manera, la potencia del motor podría ser la siguiente:

Potencia total = Potencia del motor + BotónKers*PotenciaKers

Y así con el resto de parámetros. Por lo tanto, cuando se dice que un equipo no tiene un buen simulador significa que tiene bien modelado estas fórmulas y coeficientes de su coche. Sobre todo se echan muuuchas horas de simulador en la pretemporada, pero luego también son muy necesarias para predecir cómo se comportarán nuevas piezas de los monoplazas. Sin embargo, si la Scuderia no cuenta con buenos aerodinamicistas ni con un simulador fiable, ¿cómo va a evolucionar el coche de la mejor manera posible? ESTE ES SU PROBLEMA. No consiguen plasmar en el mundo virtual el comportamiento real del coche, con lo cual, no pueden trabajar con las mismas armas que otros. Tradicionalmente, son muy buenos el simulador de Williams F1, McLaren y lo fue el de Toyota F1.

Concretamente, el modelo que usa ahora Alonso y Massa es éste. Por más que leáis que es el más rápido y avanzado para la época sólo implica que el hardware y software con el que cuenta es muy puntero, lo cual es mérito del fabricante (AMD, Moog, rFactor...). Sin embargo, lógicamente la caracterización del coche y sus partes sólo las pueden hacer los propios ingenieros de la marca, ¿o es que pensáis que lo pueden hacer CodeMasters o R-Factor y que funcione igual? Pues no. 

Los escenarios que recrean los distintos circuitos son fácilmente reproducibles, ya que a los desarrolladores de simulación les bastará con pedir los planos y medidas de la pista. Sin embargo, lo difícil es que el comportamiento del coche sea lo más parecido posible al que será en la realidad

Relativo al simulador, en este post me voy a quedar sin comentar el entorno gráfico, las comunicaciones y el feedback al piloto. De verdad, es un aparato extremadamente complejo. Los equipos guardan sus tripas como uno de sus tesoros más preciados, ya que su publicación revelaría de una manera totalmente pormenorizada todos los secretos del coche.

Aquí tenéis al incombustible Antonio Lobato explicando un poco más este (por lo menos para mí) apasionante ingenio, aplicable a toda la industria y no solo a la alta competición:



Y el de Williams F1, esta vez por Mark Blundell:



En la Scuderia, el responsable de simulación es Giacomo Tortora. No considero que sea un desastre, ya que sería injusto, y más bien yo culparía a la cúpula directiva por no haber subsanado un problema evidente desde hace ya algunos años.


Comparte:

Sígueme en redes:

descripción descripción descripción

En mi mesilla

Blog Archive